Symbolab Calculator Critical Points
Free functions extreme points calculator - find functions extreme and saddle points step-by-step This website uses cookies to ensure you get the best experience. Get the free CriticalSaddle point calculator for fxy widget for your website blog Wordpress Blogger or iGoogle.

Symbolab Step Function Unit Step Function
Related Symbolab blog posts High School Math Solutions Systems of Equations Calculator Elimination A system of equations is a collection of two or more equations with the same set of variables.

Symbolab calculator critical points. By using this website you agree to our Cookie Policy. Account Details Login Options Account. Get step-by-step solutions from expert tutors as fast as 15-30 minutes.
Calculadora gratuita de reacciones qumicas - Calcular reacciones qumicas paso a paso. Free trigonometric equation calculator - solve trigonometric equations step-by-step This website uses cookies to ensure you get the best experience. Compute answers using Wolframs breakthrough technology knowledgebase relied on by millions of students professionals.
Find more Mathematics widgets in WolframAlpha. Extended Keyboard Examples Upload Random. By using this website you agree to our Cookie Policy.
Calculadoras gratuitas passo a passo para lgebra trigonometria e clculo. Equation search and math solver - solves algebra trigonometry and calculus problems step by step. - .
This website uses cookies to ensure you get the best experience. Free Pre-Algebra Algebra Trigonometry Calculus Geometry Statistics and Chemistry calculators step-by-step. Calculate equations inequatlities line equation and system of equations step-by-step.
Free Chemical Reactions calculator - Calculate chemical reactions step-by-step. Calculadora gratuita de pontos crticos de uma funo - Encontrar os pontos crticos e estacionrios de uma funo passo a passo. Calculadora gratuita de puntos crticos de una funcin - Encontrar los puntos crticos y estacionarios de una funcin paso por paso.
- . Free Chemical Reactions calculator - Calculate chemical reactions step-by-step This website uses cookies to ensure you get the best experience. For math science nutrition history geography engineering mathematics linguistics sports finance music WolframAlpha brings expert-level knowledge and.
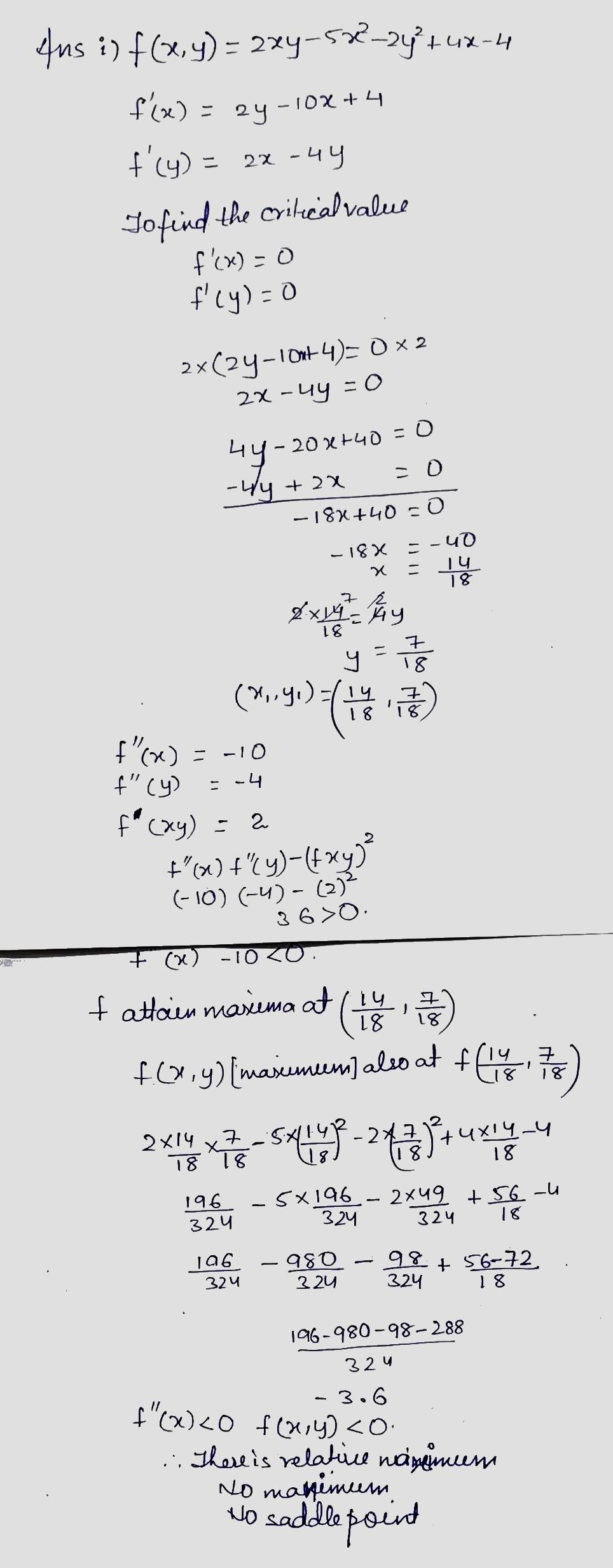
By using this website you agree to our Cookie Policy. Your first 5 questions are on us. Free functions critical points calculator - find functions critical and stationary points step-by-step This website uses cookies to ensure you get the best experience.
Related Symbolab blog posts High School Math Solutions Quadratic Equations Calculator Part 1 A quadratic equation is a second degree polynomial having the general form ax2.

Free Technology For Teachers Symbolab A Scientific Equation Search Engine Scientific Equation Ap Calculus Ab Ap Calculus
![]()
Www Symbolab Com Symbolab Math Solver Step By Step Calculator

Symbolab Step Function Unit Step Function

Critical Point Calculator Symbolab

First Derivative Symbolab First Derivative Calculator

Symbolab Calculator Www Tinspireapps Com Blog

Symbolab Math Solver Step By Step Calculator Symbolab Math Solver Maths Algebra Calculus

Free Implicit Derivative Calculator Implicit Differentiation Solver Step By Step Math Solver Algebra Calculator Quadratics

Symbolab Symbolab Science Math Search Engine Math Solver Teacher Education Mathematics

Solving For Critical Points Using A Derivative Dq Courses Dataquest Community

Symbolab Review For Teachers Common Sense Education

Derivative Calculator Symbolab

Solving For Critical Points Using A Derivative Dq Courses Dataquest Community

Symbolab Step Function Unit Step Function

Symbolab Calculator Www Tinspireapps Com Blog




Posting Komentar untuk "Symbolab Calculator Critical Points"